Mexico’s Rule of Law Reforms, Declines in Torture, and the Rise of Planted Evidence

Mexico’s Rule of Law Reforms, Declines in Torture, and the Rise of Planted Evidence

CDDRL Research-in-Brief [4-minute read]
Evidence at the crime scene. Getty Images

Overview and Contribution:


The rule of law (RoL) is an important component of democracy, key to protecting individual rights and ensuring that representatives follow the same rules as those being represented. As countries become more democratic, one would expect corresponding increases in the rule of law.

In “Fabricated Justice,” Beatriz Magaloni and Esteban Salmón show how these expectations must be seriously qualified. Beginning in 2008, Mexico gradually implemented RoL reforms. Thereafter, citizens witnessed some important gains in due process and individual rights, in particular, a dramatic decline in torture. However, these changes coincided with rising insecurity, violence, and popular demands for retribution against criminals. Owing to these pressures — as well as their own desire to work with fewer constraints — police and prosecutors found ways to circumvent the new reforms, particularly by planting evidence (drugs and weapons) on suspects, a serious RoL violation. 

However laudable its reforms, Mexican authorities failed to equip justice system officials with the tools and capacities to properly fight crime. Facing similar social and professional pressures as they had prior to the reforms, fabricated evidence struck them as a reasonable adaptation to new procedures. 

Marshalling an impressive array of quantitative and qualitative data, Magaloni and Salmón show how these legal changes can be said to have led to changes in police tactics and in the categories of arrests made. Interviews with police and prosecutors make clear just how much RoL reforms have left justice system officials feeling impotent and compelled to “fabricate justice.”

Marshalling an impressive array of quantitative and qualitative data, Magaloni and Salmón show how these legal changes can be said to have led to changes in police tactics and in the categories of arrests made.

Mexico’s (Staggered) Legal Changes:


Prior to 2008, Mexico’s legal system was an “inquisitorial” one inherited from Spanish colonial rule. This meant that judges largely based their rulings on an often-secretive case file assembled by police and prosecutors. Case files contained confessions frequently obtained by torture, which Mexico’s Supreme Court upheld on multiple occasions. After 2008, however, Mexico adopted an “adversarial” system with greater procedural oversight of detention and the early stages of investigation (when torture was more likely), stricter standards on the use of force and collection of evidence, and so on.

Importantly, Mexico’s RoL constitutional amendment set an 8-year period to fully implement the reforms. This led to a high degree of variation in when individual states adopted the reforms, as well as whether they adopted all of the reforms at once or in a piecemeal fashion. From a statistical point of view, this created a “quasi-experimental” scenario in which outcomes (e.g., whether prisoners reported being tortured) in “treated” states or municipalities (i.e., those that reformed) could be compared with “control” units that had not yet reformed. This helps ensure that other differences between states and municipalities (e.g., levels of economic development or state capacity) do not bias the results.

Quantitative and Qualitative Findings:


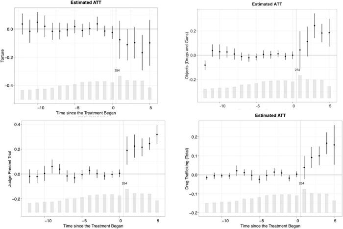
Magaloni and Salmón first draw on a 2021 survey of 60,000 prisoners conducted by Mexico’s National Institute of Statistics and Geography. The authors document (1) a substantial decline in reports of torture after 2014 (when many states and municipalities implemented the RoL reforms), (2) a rise in drug and weapons convictions by 2016 (likely the product of evidence fabrication), and (3) a decline in homicide convictions (because [a] homicide confessions could no longer be elicited through torture and [b] corpses are difficult to fabricate). These findings are largely borne out when the authors conduct their “difference in differences” analysis using the aforementioned geographical and temporal variation. As the authors show, declines in torture are likely driven by greater judicial oversight of cases, a key goal of the 2008 reforms.
 


 

Image
Fig. 1. Torture and objects (drugs and weapons).

 

Fig. 1. Torture and objects (drugs and weapons).

 

Image
Fig. 4. Event study plots with imputation estimator: torture, objects, judicial oversight, and drug trafficking.

 

Fig. 4. Event study plots with imputation estimator: torture, objects, judicial oversight, and drug trafficking.
 



To show that these quantitative findings have some basis in the beliefs of criminal justice actors, the authors conducted extensive fieldwork across Mexico. This included interviewing over 100 police officers and prosecutors, observing the activities of investigative agencies for 18 months, and following dozens of cases from arrest to hearing. This generated some remarkably honest reflections about how arrests are systematically based on false accusations and the planting of evidence on suspects. 

Interviews with police reveal a widespread belief that the RoL reforms profoundly disrupted their work. To be sure, some of these “disruptions” simply concern how police can no longer torture suspects. For example, “With arrests, we used to investigate, we could pressure them, get information. Now we are just transporters. We catch them and deliver them. That’s all” (p.10, italics added). 

Another important aspect of these changes concerns just how much time it takes to complete arrest paperwork to meet new legal requirements. This highlights officers’ limited capacity to perform since the reforms were implemented. Many reported simply not making arrests, while others bluntly admitted:

Before, we pressured the person. Now we pressure the paperwork…chain of custody has to be perfect. If it’s not, the judge will throw it out. So…[w]e fix it. Sometimes that means planting what’s missing, sometimes writing what didn’t happen (p.10). 


Meanwhile, some prosecutors expressed nostalgia for the days when their authority was less constrained and, for example, they could raid homes without warrants. Prosecutors spoke openly about the strains on police capacity and the corresponding need for fabricated evidence: “If the police officers really investigated properly, they could get the criminals for what they actually did. They’ve just been instructed to take them out of circulation no matter what” (p.12). 

Finally, the authors show that evidence fabrication is consistent with the strong desire for retribution held by ordinary Mexicans. There is a widespread perception that the new criminal justice system is too lenient, a source of impunity for criminals. Accordingly, cases that prosecutors deem especially likely to anger the public are classified as “relevant,” compelling prosecutors to resolve them at all costs, especially by encouraging officers to plant evidence. Prosecutors who don’t accept these cases may be demoted or fired. In sum, Magaloni and Salmón deepen our understanding of just how difficult it is to democratize in places where criminal justice systems are poorly resourced and where citizens demand a specific kind of retributive justice that often sidesteps individual rights.

*Brief prepared by Adam Fefer.